Forum Replies Created
-
AuthorPosts
-
in reply to: Right Angled Trigonometry #12397
A 60m long bridge has an opening in the middle and both sides open up to let boats pass underneath. The two parts of the bridge floor rise up to a height of 18m. Through what angle do they move?Since the bridge must be without a break, then the base of each triangle will be 30m BUT
be careful here as the 60m is the length of the road, which when it rises will be the hypotenuse of the triangles, not the base
$$\sin \theta = \frac{{18}}{{30}}$$
θ = 36°52’
in reply to: Trig Differentiation #12387Find the equation of the tangent to the curve y = sin ($$\pi$$ – x) at the point ($${\textstyle{\pi \over 6}}$$, ½), in exact form.
y’ = –cos($${\textstyle{\pi \over 6}}$$ – x)
at x = $${\textstyle{\pi \over 6}}$$
y’ = –cos($$\pi$$ – $${\textstyle{\pi \over 6}}$$)
y’ = –cos $${\textstyle{5\pi \over 6}}$$
y’ = –– $$\frac{\sqrt3}{2}$$
y’ = $$\frac{\sqrt3}{2}$$
y – ½ = (x – $${\textstyle{\pi \over 6}}$$ )
2y – 1 = √3x – √3
12y – 6 = 6√3x –√3$$\pi$$
6√3x – 12y + 6 – √3$$\pi$$ = 0in reply to: Trig Differentiation #12386MIF (year 12) exercise 5.9 Q4
my signs are different to the answers at the back of textbook
in reply to: Trig Identities & Proofs #12383Simplify $$\frac{{\tan (x + y) + \tan (x – y)}}{{1 – \tan (x + y)\tan (x – y)}}$$
let a = x + y and b = x – y
rewrite
=$$\frac{{\tan a + \tan b}}{{1 – \tan a\tan b}}$$
which is of the form$$\tan \,(a + b) = \frac{{\tan \,a\, + \,\tan \,b}}{{1 – \tan \,a\,\tan \,b}}$$
hence
= tan (a + b)
= tan ((x + y) + (x – y)) substituting in the original values for a and b
= tan 2xexpanding the original is just far too difficult and leads to an impossible expression to simplify, so it is about recognising that it is the compound angle rule
in reply to: Integration #12333If $$\sec \,x\,{\mathop{\rm cosec}\nolimits} \,x = \frac{{{{\sec }^2}x}}{{\tan x}}$$, find the exact value of $$\int_{\frac{\pi }{4}}^{\frac{\pi }{3}} {{\mathop{\rm cosec}\nolimits} \,x\,\sec \,x\,dx} $$
if y = tan x
y’ = sec2x hence
$$\int {\frac{{f'(x)}}{{f(x)}}dx = \,\ln \,x + c} $$$$ = \int_{\frac{\pi }{4}}^{\frac{\pi }{3}} {\frac{{{{\sec }^2}x}}{{\tan x}}dx} $$
$$ = \left[ {\ln (\tan x)} \right]_{\frac{\pi }{4}}^{\frac{\pi }{3}}$$
$$ = \,\left( {\ln \,(\tan \frac{\pi }{3})} \right) – \left( {\ln (\tan \frac{\pi }{4})} \right)$$
= ln √3 – ln 1
= ln √3
= ½ ln 3in reply to: Trig Differentiation #12329Find the gradient of the tangent to the curve y = tan 3x at the point where $$x=\frac{\pi}{9}$$ .
y’ = 3sec2 3x
at $$x=\frac{\pi}{9}$$
y’ = 3 sec2 3($$\frac{\pi}{9}$$)
$$ = 3 \times \frac{1}{{{{\left( {\cos \frac{\pi }{3}} \right)}^2}}}$$
$$ = 3 \times \frac{1}{{{{\left( {{\textstyle{1 \over 2}}} \right)}^2}}}$$
= 3 × 4
= 12in reply to: Trig Differentiation #12328MIF (yr 12) ex 5.9 Q3
in reply to: Arc lengths, Sectors & Segments #12327The area of a sector is $$\frac{3\pi}{10}$$ cm2 and the arc length of a sector is $$\frac{\pi}{5}$$cm. Find the angle subtended at the centre of the circle and find the radius of the circle.
L = θr
$$\frac{\pi}{5}$$ = θr$$\theta = \frac{\pi }{{5r}}$$
A = ½r2θ
$$\frac{3\pi}{10}$$= ½r2θ
$$\frac{{3\pi }}{5} = {r^2} \times \frac{\pi }{{5r}}$$
3 = r
when r = 3$$\theta = \frac{\pi }{{5 \times 3}}$$
$$\theta = \frac{\pi }{{15}}$$
in reply to: Arc lengths, Sectors & Segments #12326A circle has a chord of 25mm with an angle of $$\frac{\pi}{6}$$ subtended at the centre. Find, to 1 decimal place, the length of the arc cut off by the chord.
the chord will be bisected with a perpendicular from the centre of the circle, also bisecting the angle, which will for a right triangle with angle of $$\frac{\pi}{12}$$ at the centre and a height of 12.5cm, then using opposite over hypotenuse, sin will find the radius (hypotenuse)
$$\sin \frac{\pi }{12} = \frac{{12.5}}{r}$$r = 48.296
L = $$\frac{\pi }{12}$$ × 48.296
L = 25.3mmin reply to: Arc lengths, Sectors & Segments #12323MIF (yr 12) ex 5.4 Q10
in reply to: Arc lengths, Sectors & Segments #12322MIF (yr 12) : Q9 EX 5.3
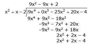
in reply to: Relationship between Roots and Coefficients #12299Find the value of k for which 9x4 – 25x2 + 10kx – k2 is divisible by both x – 1 and x + 2. With this value of k, find the roots of the equation.
P(1) = 0
9(1)4 – 25(1)2 + 10k(1) – k2 = 0
10k – k2 – 16 = 0
k2 – 10k + 16 = 0
(k – 8)(k – 2) = 0
k = 8, 2
test k = 8 with P(–2) = 0
P(–2) = 9(–2)4 – 25(–2)2 + 10(8)(–2) – 82
= –180
≠ 0
hence k = 8 is not solution
test k = 2 with P(–2) = 0
P(–2) = 9(–2)4 – 25(–2)2 + 10(2)(–2) – 22
= 0
hence k = 2 solution
∴ P(x) = 9x4 – 25x2 + 20x – 4
P(x) = (x – 1)(x + 2)Q(x)
P(x) = (x – 1)(x + 2)(3x – 2)(3x – 1)in reply to: Relationship between Roots and Coefficients #12297File: 3_Pol_1
Question: 7 please
in reply to: Arranging Letters #12289How many distinct 11- letter words can be formed from the letters of the word INDEPENDENT?
11 letters in total = 11!
repeats: 3 N’s, 2 D’s, 3 E’s$$=\frac{{11!}}{{3!3!2!}}$$
= 554,400
in reply to: Absolute Inequalities #12279Solve |x + 1| > |2x – 2|.
the best way to approach an absolute inequality with absolutes on both sides is to square everyone, similar to how we deal with unknowns in the denominator – this helps us deal with the absolutes without setting up a huge amount of tests and it is far more efficient
(x + 1)2 > (2x – 2)2
x2 + 2x + 1 > 4x2 – 8x + 4
0 > 3x2 – 10x + 3
0 > (3x + 1)(x + 3)
1/3 < x < 3 -
AuthorPosts


