Forum Replies Created
-
AuthorPosts
-
in reply to: Projectile Motion #19104
At what angle should a particle be projected with a velocity of 50 m/s to pass through a point on its path whose coordinates are (200, 25), distances being measured in metres?
$$\underset{\raise0.3em\hbox{$\smash{\scriptscriptstyle\thicksim}$}}{v}$$(t) = (50cos α) + (50sin α – 10t)
$$\underset{\raise0.3em\hbox{$\smash{\scriptscriptstyle\thicksim}$}}{r}$$(t) = (50t cos α) +(50tsin α – 5t2)
passes through (200, 25)
x = 200, y = 25
50t cos α = 200
t = $$\frac{4}{{\cos \alpha }}$$
$$25 = 50 \times \frac{4}{{\cos \alpha }}\sin \alpha – 5 \times \frac{{16}}{{{{\cos }^2}\alpha }}$$
25 = 200tan α – 80(1 + tan2 α)
25 = 200 tan α – 80 – 80tan2 α
80tan2 α – 200tan α + 105 = 0
16tan2 α – 40tan α + 21 = 0
(4tan α – 3)(4 tan α – 7) = 0
tan α = 3/4, tan α = 7/4
a = 36°52′, 60°15′
The diagram shows two curves C1 and C2. The curve C1 is the semi-circle x2 + y2 = 4 for –2 ≤ x ≤ 0. The curve C2 is the ellipse for 0 ≤ x ≤ 3. An egg is modelled by rotating the curves about the x-axis to form a solid of revolution. Find the exact value of the volume of the solid of revolution.
in reply to: Integrating Inverse Trig #19097Consider the function y = x cos–1 x.
a. Find $$\frac{{dy}}{{dx}}$$.
$$\frac{{dy}}{{dx}} = {\cos ^{ – 1}}x\, \times \,1 + x \times – \frac{1}{{\sqrt {1 – {x^2}} }}$$
$$ = {\cos ^{ – 1}}x – \frac{x}{{\sqrt {1 – {x^2}} }}$$
b. Hence, or otherwise, evaluate $$\int\limits_0^{\frac{{\sqrt 3 }}{2}} {{{\cos }^{ – 1}}x\,dx} $$.
$$\int\limits_0^{\frac{{\sqrt 3 }}{2}} {{{\cos }^{ – 1}}x\,dx} = \int\limits_0^{\frac{{\sqrt 3 }}{2}} {{{\cos }^{ – 1}}x\,dx} – \frac{x}{{\sqrt {1 – {x^2}} }}dx + \int\limits_0^{\frac{{\sqrt 3 }}{2}} {\frac{x}{{\sqrt {1 – {x^2}} }}dx} $$
$$\left[ {x{{\cos }^{ – 1}}x} \right]_0^{\frac{{\sqrt 3 }}{2}} + \int\limits_0^{\frac{{\sqrt 3 }}{2}} {{{\cos }^{ – 1}}x\,dx} – \frac{x}{{\sqrt {1 – {x^2}} }}dx$$
$$\left[ {x{{\cos }^{ – 1}}x} \right]_0^{\frac{{\sqrt 3 }}{2}} + \int\limits_{\frac{1}{4}}^1 {\frac{{ – 1}}{{2\sqrt u }}} du$$
using substitution u = 2
$$ = \left( {\frac{{\sqrt 3 }}{2} \times \frac{\pi }{6}} \right) – \left( 0 \right) – \frac{1}{2}\int\limits_1^{\frac{1}{4}} {{u^{ – \frac{1}{2}}}} du$$
$$ = \frac{{\sqrt 3 \pi }}{{12}} + \frac{1}{2}\left[ {2\sqrt u } \right]_1^{\frac{1}{4}}$$
$$ = \frac{{\sqrt 3 \pi }}{{12}} + \frac{1}{2}$$
$$ = \frac{{\sqrt 3 \pi + 6}}{{12}}$$
in reply to: Differentiating Inverse Trig #19095Suppose f(x) = tan (cos–1 x) and g(x) = $$\frac{{\sqrt {1 – {x^2}} }}{x}$$ .

The graph of y = g(x) is shown.a. Show that f ‘(x) = g′(x) .
f′(x) = $$ – \frac{1}{{\sqrt {1 – {x^2}} }} \times {\sec ^2}({\cos ^{ – 1}}x)$$
$$= – \frac{1}{{\sqrt {1 – {x^2}} }} \times \frac{1}{{{{\cos }^2}({{\cos }^{ – 1}}x)}}$$
$$= – \frac{1}{{\sqrt {1 – {x^2}} }} \times \frac{1}{{{x^2}}}$$
$$ = – \frac{1}{{x^2\sqrt {1 – {x^2}} }}$$
g(x) = $${(1 – {x^2})^{\frac{1}{2}}} \times {x^{ – 1}}$$
g′(x) = $$ = {x^{ – 1}} \times \frac{1}{2} \times – 2x{(1 – {x^2})^{ – \frac{1}{2}}} + \sqrt {1 – {x^2}} \times – {x^{ – 2}}$$
$$ = \frac{{ – 1}}{{\sqrt {1 – {x^2}} }} – \frac{{\sqrt {1 – {x^2}} }}{{{x^2}}}$$
$$ = \frac{{{x^2} – \sqrt {1 – {x^2}} \sqrt {1 – {x^2}} }}{{{x^2}\sqrt {1 – {x^2}} }}$$
$$ = \frac{{{x^2} – (1 – {x^2})}}{{{x^2}\sqrt {1 – {x^2}} }}$$
$$ = – \frac{1}{{x^2\sqrt {1 – {x^2}} }}$$
∴ f ′(x) = g′(x)
b. Using part a, or otherwise, show that f (x) = g(x).
if f ′(x) = g′(x) then f (x) = g(x) + c
find c
let x = 1
f (1) = tan (cos–1 1)
= tan 0
= 0
g(1) = 0
hence 0 = g(1) + c
0 = 0 + c
c = 0
∴ f (x) = g(x)in reply to: Finding Terms &Coefficients #19092In the expansion of (5x + 2)20, the coefficients of xr and xr + 1 are equal. What is the value of r?
(2 + 5x)20
Find the term with xr
20Cr (2)20 – r(5x)r coefficient = 20Cr (2)20 – r(5)r
Find the term with xr+ 1
20Cr + 1 (2)19 – r(5x)r+ 1 coefficient = 20Cr + 1 (2)19 – r(5)r + 1$$\frac{{20!}}{{r!(20 – r)!}} \times {2^{20 – r}}{5^r} = \frac{{20!}}{{(r + 1)!(19 – r)!}} \times {2^{19 – r}}{5^{r + 1}}$$
divide both sides by 20! and 219 – r and 5r
$$\frac{2}{{r(r – 1)(r – 2)…(20\, – r)(19 – r)(18 – r)…}} = \frac{5}{{(r + 1)(r)(r – 1)…(19 – r)(18 – r)…}}$$
times both sides by r(r – 1)(r – 2)… and (20 – r)(19 – r)…
$$\frac{2}{{20 – r}} = \frac{5}{{r + 1}}$$
2r + 2 = 100 – 5r
7r = 98
r = 14in reply to: Finding Terms &Coefficients #19091Using (1 + x)4(1 + x)9 = (1 + x)13, show that 9C4 + 4C19C3 + 4C29C2 + 4C39C1 = 13C4.
Consider how to make x4 since on the RHS we are looking for 13C4
(1 + x)4 = 4C0 + 4C1x + 4C2x2 + 4C3x3 + 4C4x4 and
(1 + x)9 = 9C0 + 9C1x + 9C2x2 + 9C3x3 + 9C4x4 + … (don’t need to consider anything higher than x4 as we wont be able to multiply the two expressions to make a resulting x4 term with anything higher than x4)
term with x4 on both sides:
4C0 × 9C4x4 + 4C1x × 9C3x3 + 4C2x2 × 4C2x2 + 4C3x3 × 9C1x + 4C4x4 × 9C0 = 13C4x4
let x = 1
9C4 + 4C19C3 + 4C29C2 + 4C39C1 = 13C4in reply to: Finding Terms &Coefficients #19090If (1 – 2√2)6 = x + y√2, evaluate the value of x and y.
= $${}^6{C_0} + {}^6{C_1}( – 2\sqrt 2 ) + {}^6{C_2}{( – 2\sqrt 2 )^2} + {}^6{C_3}{( – 2\sqrt 2 )^3} + {}^6{C_4}{( – 2\sqrt 2 )^4} + {}^6{C_5}{( – 2\sqrt 2 )^5} + {}^6{C_6}{( – 2\sqrt 2 )^6}$$
= 1 – 12√2 + 120 – 320√2 +960 – 768√2 + 512
= 1593 – 1100√2
hence x = 1593 and y = –1100in reply to: Finding Terms &Coefficients #19086For the expansion of (1 + 3x)(5 – 2x)p, find an expression for the coefficient of x2.
(1 + 3x)(5 – 2x)p = $$(1 + 3x)\left\{ {{}^P{C_0}{5^p}{{( – 2x)}^0} + {}^P{C_1}{5^{p – 1}}{{( – 2x)}^1} + {}^P{C_2}{5^{p – 2}}{{( – 2x)}^2} + {}^P{C_3}{5^{p – 3}}{{( – 2x)}^3} + {}^P{C_4}{5^{p – 4}}{{( – 2x)}^0} + {}^P{C_0}{5^{p – 5}}{{( – 2x)}^5}} \right\}$$
consider the pairings that would make x2: 1 × x2 and 3x × x
$$1 \times {}^p{C_2}{5^{p – 2}}4{x^2} + 3x \times {}^p{C_1}{5^{p – 1}} – 2x$$
= $$\left( {4{}^p{C_2}{5^{p – 2}} – 6{}^p{C_1}{5^{p – 1}}} \right){x^2}$$
hence coefficient of x2 is $$\left( {4{}^p{C_2}{5^{p – 2}} – 6{}^p{C_1}{5^{p – 1}}} \right)$$

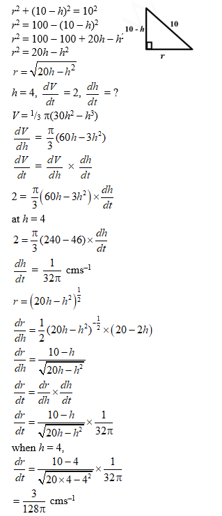
Let a hemispherical bowl of radius 10 cm contain water to a depth of h cm. The volume of water in the bowl in terms
of its depth h cm is given by V = 1/3πh2(30 – h) cm3.
Water is poured into the bowl at a rate of 2 cm3s–1 .a. If the radius of the water surface is r cm, show that $$r = \sqrt {20h – {h^2}} $$.
When the depth of water is 4 cm, find in terms of π:
b. The rate of change of the water level.
c. The rate of change of the radius of the water surface.

A man standing 100 metres from the base of a high–rise building observes an external lift moving up the outside wall of the building at a constant rate of 6.5 metres per second.
a. If θ radians is the angle of elevation of the lift from the observer, show that $$\frac{{d\theta }}{{dt}}$$ = $$\frac{{13{{\cos }^2}\theta }}{{200}}$$.
b. Evaluate $$\frac{{d\theta }}{{dt}}$$ at the instant when the lift is 40 metres above the observers’ horizontal line of vision.
A sculptor is rolling modelling clay on a board. The clay is in the shape of a cylinder and has a constant volume of 20$$\pi$$ cm3. As she rolls it into a thinner cylinder, the radius decreases at a constant rate of 2 cm per minute. Find the rate of increase of the height h of the cylinder with respect to time, at the moment when the radius is 4 cm.
V = $$\pi$$r2h
20p = πr2h
20 = r2h
h = 20r–2$$\frac{{dh}}{{dr}}$$ = -40r-3
= $$\frac{{ – 40}}{{{r^3}}}$$$$\frac{{dr}}{{dt}}$$ = -2 $$\frac{{dh}}{{dt}}$$ = ??? when r = 4 cm
$$\frac{{ – 40}}{{{4^3}}} = \frac{{dh}}{{dt}} \times – 2$$
$$\frac{{dh}}{{dt}} = \frac{{dh}}{{dr}} \times \frac{{dr}}{{dt}}$$
$$\frac{{dh}}{{dt}} = \frac{{ – 40}}{{{4^3}}} \times – 2$$
$$\frac{{dh}}{{dt}}$$ = 1.25 cm/s
in reply to: Maxima/Minima – Application Problems #19058A window in the chapel has been damaged by a storm and needs
to be replaced. It is in the shape of a rectangle surmounted by a semi-circle as shown. Let the radius of the semi-circle be r metres and the height of the rectangle be h metres.a. Given that the perimeter of the window is to be 16π metres, show that h = 8 – r – ½πr.
$$P = h + h + 2r + \frac{1}{2} \times 2\pi r$$
16π = 2h + 2r +πr
2h = 16π – 2r – πr
h = 8π – r – ½πr
b. Hence, show that the area A of the window is given by the formula $$A = 16\pi r – 2{r^2} – \frac{1}{2}\pi {r^2}$$.
$$A = 2r \times h + \frac{1}{2} \times \pi \times {r^2}$$
$$A = 2r \times (8\pi – r – \frac{1}{2}\pi r) + \frac{1}{2}\pi {r^2}$$
$$A =16\pi r – 2{r^2} – \pi {r^2} + \frac{1}{2}\pi {r^2}$$
$$A = 16\pi r – 2{r^2} – \frac{1}{2}\pi {r^2}$$
c. Find the exact radius of the semi-circle for which the area of the window is to be a maximum.
$$A\prime = 16\pi – 4r – \pi r$$
$$A\prime \prime = – 4 – \pi $$
0 = 16π – r(4 + π)
r(4 + π) = 16π
$$r = \frac{{16\pi }}{{4 + \pi }}$$
A′′ = –4 – π > 0 for all r
then concave down,
hence maximum when $$r = \frac{{16\pi }}{{4 + \pi }}$$
d. Find the maximum area of this window correct to 1 decimal place.
$$A = 16\pi \left( {\frac{{16\pi }}{{4 + \pi }}} \right) – 2{\left( {\frac{{16\pi }}{{4 + \pi }}} \right)^2} – \frac{1}{2}\pi {\left( {\frac{{16\pi }}{{4 + \pi }}} \right)^2}$$
A = 176.8946…
∴ maximum area = 176.9 m2
in reply to: ad_fn_tr.pdf #19053Given the function g(x) = x3 – kx. Let A(–1, g(–1)) and B(1, g(1)) be two points on the graph of g.
a. Show that A is (–1, –1 + k) and B is (1, 1 – k).
b. Show that the distance AB is $$2\sqrt {{k^2} – 2k + 2} $$ , given that the distance formula is $$d = \sqrt {{{({x_1} – {x_2})}^2} + {{({y_1} – {y_2})}^2}} $$ .
a. sub the points A and B into the equation
when x = -1, y = g(-1) when x = 1, y = g(1)
g(-1) = (-1)3 – k(-1) g(1) = (1)3 – k(1)
= -1 + k = 1 – k
= y = y∴ y = k – 1 y = 1 – k
hence A(-1, -1 + k) B(1, 1 – k)b. $$AB = \sqrt {{{( – 1 – 1)}^2} + {{\left( {(k – 1) – (1 – k)} \right)}^2}} $$
$$ = \sqrt {{{( – 2)}^2} + {{(2k – 2)}^2}} $$
$$ = \sqrt {4 + 4{k^2} – 8k + 4} $$
$$ = \sqrt {4{k^2} – 8k + 8} $$
$$ = \sqrt {4({k^2} – 2k + 2)} $$
$$ = 2\sqrt {{k^2} – 2k + 2} $$
in reply to: Projectile Motion #19045A horizontal drainpipe 5 m above sea level empties stormwater into the sea. If the water comes out of the horizontal and reaches the sea 3 m out from the pipe, find the in
initial velocity of the water. Let g = 10 ms–2.$$\underset{\raise0.3em\hbox{$\smash{\scriptscriptstyle\thicksim}$}}{a} = – 10\underset{\raise0.3em\hbox{$\smash{\scriptscriptstyle\thicksim}$}}{j}$$
the angle will be 0, since it is a horizontal projection
$$\underset{\raise0.3em\hbox{$\smash{\scriptscriptstyle\thicksim}$}}{v}(t) = (v\cos 0) \underset{\raise0.3em\hbox{$\smash{\scriptscriptstyle\thicksim}$}}{i}+(v\sin 0 – 10t)\underset{\raise0.3em\hbox{$\smash{\scriptscriptstyle\thicksim}$}}{j}$$
$$\underset{\raise0.3em\hbox{$\smash{\scriptscriptstyle\thicksim}$}}{v}(t) = (v) \underset{\raise0.3em\hbox{$\smash{\scriptscriptstyle\thicksim}$}}{i}+(– 10t)\underset{\raise0.3em\hbox{$\smash{\scriptscriptstyle\thicksim}$}}{j}$$
$$\underset{\raise0.3em\hbox{$\smash{\scriptscriptstyle\thicksim}$}}{r}(t) = (vt) \underset{\raise0.3em\hbox{$\smash{\scriptscriptstyle\thicksim}$}}{i}+(5–5t^2)\underset{\raise0.3em\hbox{$\smash{\scriptscriptstyle\thicksim}$}}{j}$$
set vertical component of displacement to 0
0 = 5 – 5t20 = 5(1 – t)(1 + t)
t = 1, -1
at t = 1, x = 3
3 = v
hence initial velocity is 3 ms-1
in reply to: Substitution #18965Under certain conditions, the power P, in watts per hour, generated by a windmill with winds blowing v kilometres per hour is given by: P(v) = 0.015v3.
How fast must the wind blow in order to generate 120 watts of power in 1 hr?
120 = 0.015v3 substitute P(v) = 120 8000 = v3 solve the equation to find v (the speed) v = 3√8000 take the cube root of both sides v = 20 -
AuthorPosts


